WEBブラウザ上で動作するオンライン計算機・電卓です。
ハード担当やエレキ担当の回路設計・基板設計向けです。
一部のSI接頭辞が使用可能です(k, M, G, u, n, p)

周波数を波長に、波長を周波数に変換します。
誘電率が高いと、伝搬速度が下がります。

信号周波数
Hz
波長
m
信号周波数
εr
波長
us
1/2波長
us
1/4波長
us
周波数
MHz

ローパスフィルタ 電圧が-3dB(0.707倍)となる周波数

抵抗
Ω
コンデンサ
F
周波数
MHz
時定数
us

抵抗で分圧した時の中点の電圧を求めます。
実際の設計では抵抗値や電圧に誤差が生じるため、中点の電圧も一定にはなりません。

電源電圧
V
R1(High side)
Ω
R2(Low side)
Ω
電源電圧の許容差
±%
R1 許容差
±%
R2 許容差
±%
電圧
V
最大電圧
V
最小電圧
V
電圧範囲
V p-p

電源、LED、抵抗からなる回路を設計します。
実際の部品は抵抗値やVfにバラツキがあるため、LEDの電流に誤差が生じます。

電源電圧
V
LEDのVf
V
電流制限抵抗R
Ω
電源電圧MAX
V
電源電圧min
V
Vf Max
V
Vf min
V
抵抗の許容差
%
LED電流
mA
LED電流 Max
mA
LED電流 min
mA

消費電力 電流と電圧から

電流
mA
電圧
V
Duty比(任意0~1.0)
UNIT
消費電力
mW

入力の電圧・電流と出力の電圧・電流から電源の効率を計算します。

入力電流
A
入力電圧
V
出力電流
A
出力電圧
V
効率
%

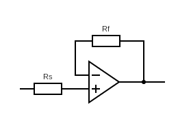
OPアンプの反転増幅回路

Rs
Ω
Rf
Ω
Rs 許容差
%
Rf 許容差
%
ゲイン
ゲイン
dB

パルス電流を蓄えられるコンデンサの容量を求めます

出力電流
A
出力電圧
V
出力時間
s
コンデンサ容量
uF

定格消費電力(〇〇W)から電気料金を計算します。1kW=約20円。

定格電力
W
1日当たりの使用時間
h
1kWh当たりの電気料金
1日の電気代
月々の電気代
年間の電気代

バッテリーでよく目にするmAh表記の放電容量を消費電力(〇〇W)に換算する計算機です。
基準電圧は慣例的に3.7Vであることが多いです。

放電容量
mAh
バッテリーの電圧
V
Wh
Wh
W
W

抵抗値と電流値から、電圧降下量を計算します。

抵抗値
Ω
電流
mA
電圧降下量
V

簡易計算のため、計算結果は一切保証しません。
2020 Engeneer Calculator project. All right reserve.

- <576px
sm >576px
md >768px
lg >992px
xl >1200px